Polidimetilsilossano con terminazione carbinolica (idrossile) CAS#67674-67-3
Numero CAS:67674-67-3
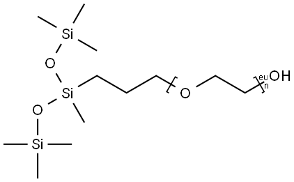
Formula chimica:(Q4W)NS10HQ
Sinonimi:
Silossano organo-modificato
Copolimero di eptametiltrisilossano-poliossietilene allil etere
POLIDIMETILSILOSSANO FUNZIONALE TERMINATO DA MONOCARBINOLO, simmetrico, 35-40 cSt
Aspetto:Liquido incolore
MOQ (Quantità minima d'ordine): 1 FCL (carico completo del contenitore)
Descrizione del prodotto di polidimetilsilossano terminato con carbinolo (idrossile) CAS#67674-67-3
L'alfa-[3-[1,3,3,3-tetrametil-1-(trimetilsilil-ossi)disilossanil]propil-omega-idrossipoliossietilene] è un composto organosiliconico specializzato che presenta sia segmenti silossanici che poliossietilene. Questa molecola anfifilica (CAS 67674-67-3) si presenta tipicamente come un liquido viscoso da incolore a giallo pallido, con un peso molecolare compreso tra 222,51 e 324,64 g/mol a seconda della lunghezza della catena poliossietilene. La sua struttura unica combina le proprietà idrofobiche dell'eptametiltrisilossano con le caratteristiche idrofile del poliossietilene, rendendolo prezioso come tensioattivo ed emulsionante in applicazioni cosmetiche, di rivestimento e tessili. Il composto dimostra un'eccellente attività superficiale, stabilità termica e compatibilità con matrici organiche, fungendo spesso da intermedio chiave nella sintesi di copolimeri silicone-polietere. I gradi commerciali offrono in genere una purezza del 98-99% e vengono forniti in contenitori sigillati per impedire l'assorbimento di umidità.
Parametri
| Punto di fusione | 0°C |
| Punto di ebollizione | 0°C |
| densità | 1,02 g/cm3 |
| indice di rifrazione | 1.5580 |
| Fp | 0°C |
| Peso specifico | 1.02 |
Idrolitico Sensibilità |
4: nessuna reazione con l'acqua in condizioni neutre |
Sostanza EPA Sistema di registro |
Poli(ossi-1,2-etandiile), α-[3-[1,3,3,3-tetrametil-1-[(trimetilsilil)ossi]disilossanil]propil]-μα-idrossi- (67674-67-3) |
Applicazione del prodotto diPolidimetilsiloxano terminato con carbinolo (idrossile) CAS#67674-67-3
Mostra di fabbriche e attrezzature
Tempi di consegna rapidi
Inventario 2-3 giorni lavorativi Nuova produzione 7-10 giorni lavorativi


