Carbossimetilcellulosa sodica CAS#9004-32-4
Numero CAS: 9004-32-4
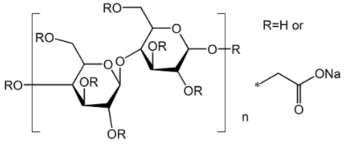
Formula chimica:C6H7O2(OH)2CH2COONa
Sinonimi:
Aquacide I, Calbiochem
Aquacide II, Calbiochem
CARBOSSIMETILCELLULOSA DI SODIO (CMC)
MOQ (Quantità minima d'ordine):1 FCL (carico completo del contenitore)
Aspetto:Polvere bianca
Carbossimetilcellulosa sodica CAS#9004-32-4
La carbossimetilcellulosa sodica (9004-32-4) è un polimero idrosolubile. In soluzione acquosa, ha proprietà tissotropiche. È utile per aiutare a trattenere i componenti delle composizioni pirotecniche in sospensione acquosa (ad esempio, nella produzione di fiammiferi neri). È anche un legante particolarmente efficace che può essere utilizzato in piccole quantità in composizioni in cui il legante può interferire con l'effetto desiderato (ad esempio, nelle composizioni stroboscopiche). Tuttavia, il suo contenuto di sodio ne preclude ovviamente l'uso nella maggior parte delle composizioni colorate. La carbossimetilcellulosa sodica è prodotta dalla cellulosa mediante vari processi che sostituiscono alcuni degli atomi di idrogeno nei gruppi idrossilici [OH] della molecola di cellulosa con gruppi carbossimetilici acidi [-CH2CO.OH], che vengono neutralizzati per formare il corrispondente sale di sodio. La carbossimetilcellulosa sodica è bianca quando pura; il materiale di qualità industriale può essere in granuli o polvere bianco-grigiastri o color crema. |
Proprietà chimiche della carbossimetilcellulosa sodica |
Punto di fusione |
274 °C (dec.) |
densità |
1,6 g/cm3 |
indice di rifrazione |
1.515 |
FEMA |
2239 | CARBOSSIMETILCELLULOSA |
temperatura di conservazione |
temperatura ambiente |
solubilità |
H2O: 20 mg/mL, solubile |
pka |
4.30 (a 25℃) |
modulo |
bassa viscosità |
colore |
Da bianco a giallo chiaro |
Odore |
Inodore |
PH |
pH (10 g/l, 25 ℃) 6,0~8,0 |
Intervallo di pH |
6,5 - 8,5 |
fonte biologica |
legno (polpa) |
Solubilità in acqua |
solubile |
Merck |
14.1829 |
Stabilità: |
Stabile. Incompatibile con forti agenti ossidanti. |
Funzioni degli ingredienti cosmetici |
STABILIZZANTE PER EMULSIONI |
Revisione degli ingredienti cosmetici (CIR) |
Sodio carbossimetilcellulosa (9004-32-4) |
InChI |
1S/C6H12O6.C2H4O2.Na/c7-1-3(9)5(11)6(12)4(10)2-8;1-2(3)4;/h1,3-6,8-12H,2H2;1H3,(H,3,4); |
InChiKey |
DPXJVFZANSGRMM-UHFFFAOYSA-N |
SORRISI |
[Na].OC(C(O)C(O)C=O)C(O)CO.OC(=O)C |
Sistema di registro delle sostanze dell'EPA |
Sodio carbossimetilcellulosa (9004-32-4) |
Informazioni sulla sicurezza |
Dichiarazioni di rischio |
40 |
Dichiarazioni di sicurezza |
24/25 |
WGK Germania |
1 |
RTECS |
FJ5950000 |
F |
3 |
Temperatura di autoaccensione |
698 °F |
TSCA |
Elencato nel TSCA |
Codice HS |
39123100 |
Classe di archiviazione |
11 - Solidi combustibili |
Tossicità |
LD50 orale nel coniglio: > 27 g/kg |
Applicazione del prodotto di carbossimetilcellulosa sodica CAS#9004-32-4
La carbossimetilcellulosa sodica (NaCMC) è il sale sodico della carbossimetilcellulosa, un derivato anionico. È ampiamente utilizzata nelle formulazioni farmaceutiche orali e topiche, principalmente per le sue proprietà di aumento della viscosità. Le soluzioni acquose viscose vengono utilizzate per sospendere polveri destinate all'applicazione topica o alla somministrazione orale e parenterale. La carbossimetilcellulosa sodica può anche essere utilizzata come legante e disgregante per compresse e per stabilizzare le emulsioni.
Concentrazioni più elevate, solitamente dal 3 al 6%, del grado a media viscosità vengono utilizzate per produrre gel che possono essere utilizzati come base per applicazioni e paste; i glicoli sono spesso inclusi in tali gel per evitarne l'essiccazione. La carbossimetilcellulosa sodica viene utilizzata anche nelle stomie autoadesive, nella cura delle ferite e nei cerotti dermatologici come mucoadesivo e per assorbire l'essudato della ferita o l'acqua e il sudore transepidermici. Questa proprietà mucoadesiva viene utilizzata in prodotti progettati per prevenire le aderenze tissutali post-chirurgiche; per localizzare e modificare la cinetica di rilascio dei principi attivi applicati alle mucose; e per la riparazione ossea. L'incapsulamento con carbossimetilcellulosa sodica può influire sulla protezione e sulla somministrazione del farmaco. Sono stati segnalati anche casi del suo utilizzo come agente citoprotettivo.
La carbossimetilcellulosa sodica viene utilizzata anche nei cosmetici, negli articoli da toeletta, nelle protesi chirurgiche, nei prodotti per l'incontinenza, nell'igiene personale e negli alimenti.
Mostra di fabbriche e attrezzature
Tempi di consegna rapidi
Inventario 2-3 giorni lavorativi Nuova produzione 7-10 giorni lavorativi


