Acido dimero C36 CAS#61788-89-4
Numero CAS:61788-89-4
Formula chimica:C36H64O4
Sinonimi:
ACIDI GRASSI, DIMERACIDI
ACIDI GRASSI SATURATI C18 DIMERS DISTILLATI
Dimerfettsure, C18, ingestibile
Quantità minima d'ordine (MOQ):1 FCL (carico completo di container)
Aspetto:Olio liquido
Acido dimero C36 CAS#61788-89-4
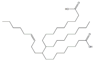
Il termine acido dimerico si riferisce alla dimerizzazione di un acido grasso insaturo lineare o di un estere di acido grasso insaturo con acido linoleico, presente come componente principale in un olio naturale, che si auto-condensa attraverso una reazione di cicloaddizione di Diels-Alder catalizzata da un enzima. Si tratta di una miscela di vari isomeri, in cui i componenti principali sono i dimeri, piccole quantità di trimeri o multimeri e tracce di monomeri non reagiti.
Proprietà chimiche dell'acido dimero C36 |
pressione di vapore |
0-0,029 Pa a 25℃ |
modulo |
Viscoso |
InChiKey |
AMOKUAKXKXBFIW-WJDWOHSUSA-N |
SORRISI |
C(O)(=O)CCCCCCCC(CC/C=C\CCCCC)C(CCCCCCCC)CCCCCCCCCC(O)=O |
LogP |
1-14,81 a pH2 |
Sistema di registrazione delle sostanze dell'EPA |
C18-Non sat. dimeri di acidi grassi (61788-89-4) |
Informazioni sulla sicurezza |
TSCA |
Elencato nel TSCA |
Applicazione del prodotto dell'acido dimerico C36 CAS#61788-89-4
L'acido dimerico è un importante oleochimico ampiamente utilizzato in rivestimenti, tensioattivi, lubrificanti, inchiostri da stampa, adesivi termofusibili e altri settori.
FattoMostra di fabbriche e attrezzature
Tempi di consegna rapidi
Disponibilità a magazzino: 2-3 giorni lavorativi. Nuova produzione: 7-10 giorni lavorativi.


