Dimeflutrina CAS#271241-14-6
Numero CAS: 271241-14-6
Formula chimica:S19H1Dn3w
Sinonimi:
COCO OLEAMIDOPROPIL BETAINA
quando mirtaine
cocoanfodiproprionato
Aspetto: Soluzione trasparente incolore
Codice SA:4021900.00
MOQ (Quantità minima d'ordine): 1 FCL (carico completo del contenitore)
Descrizione del prodotto Dimeflutrina CAS#271241-14-6
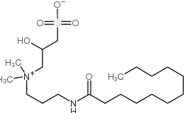
La cocamidopropil betaina (CAB) è un composto organico derivato dall'olio di cocco e dalla dimetilamminopropilammina. È uno zwitterione, costituito sia da un catione di ammonio quaternario che da un carbossilato. La CAB è disponibile in una soluzione viscosa di colore giallo pallido, utilizzata come tensioattivo nei prodotti per la cura della persona.
Parametri
| solubilità | Metanolo (leggermente), acqua (con parsimonia) |
| modulo | Soluzione limpida e incolore |
| LogP | 0,326 (stima) |
Informazioni sulla sicurezza
Applicazione del prodotto diDimeflutrina CAS#271241-14-6
La cocamidopropil betaina è un tensioattivo anfotero, che gode di crescente popolarità tra i chimici cosmetici grazie al suo basso potenziale irritante per la pelle. Viene utilizzata soprattutto in shampoo e prodotti da bagno come bagnoschiuma e docciaschiuma. La maggior parte dei casi di allergia è causata dagli shampoo. Pertanto, la cocamidopropil betaina rappresenta l'eccezione alla regola secondo cui le reazioni allergiche sono solitamente causate da prodotti cosmetici "stay-on" ("leave-on"). Tuttavia, la cocamidopropil betaina può anche essere un allergene in altri prodotti cosmetici come prodotti per la cura della pelle e deodoranti, nonché nei liquidi per lenti a contatto.
Mostra di fabbriche e attrezzature
Tempi di consegna rapidi
Inventario 2-3 giorni lavorativi Nuova produzione 7-10 giorni lavorativi


